13 纳税服务投诉指南
纳税服务投诉指南是指税务机关为维护纳税人(含缴费人、扣缴义务人和其他当事人)的合法权益,规范纳税服务投诉管理,提高投诉办理效率所制定的服务指南,包括纳税服务投诉处理1类1个事项。
13.1 纳税服务投诉
13.1.1—184 纳税服务投诉处理
【事项名称】
纳税服务投诉处理
【申请条件】
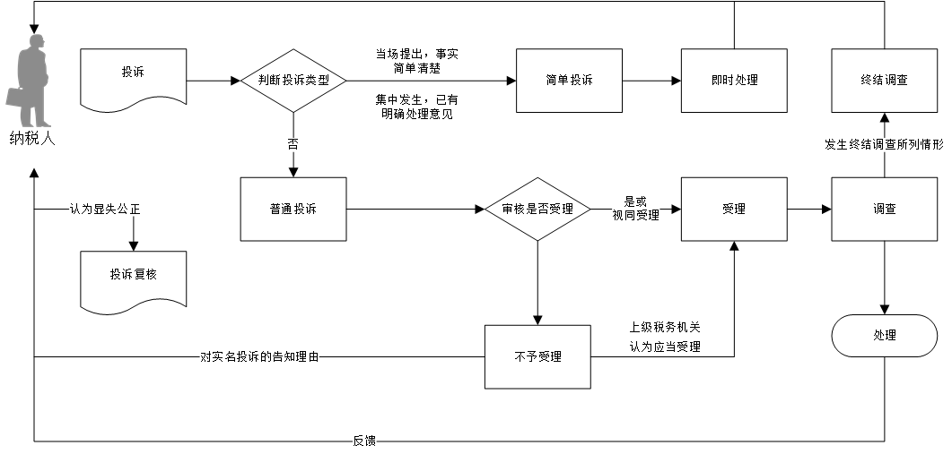
纳税人认为税务机关及其工作人员在履行纳税服务职责过程中未提供规范、文明的纳税服务或者有其他侵犯其合法权益的情形,向税务机关进行投诉,税务机关进行受理、调查、处理和结果反馈。
【设定依据】
《国家税务总局关于修订〈纳税服务投诉管理办法〉的公告》(国家税务总局公告2019年第27号)
【办理材料】
序号 |
材料名称 |
数量 |
备注 |
1 |
纳税人通过口头或书面形式提供以下内容: (1)被投诉单位名称或者被投诉个人的相关信息及其所属单位; (2)投诉请求、主要事实、理由。 |
1份 |
|
有以下情形的,还应提供相应材料 |
适用情形 |
材料名称 |
数量 |
备注 |
实名投诉纳税人 |
投诉人的姓名(名称)、有效联系方式 |
1份 |
|
【办理地点】
可通过办税服务厅(场所)、12366纳税缴费服务热线、云南税务官方网站、信函等渠道办理,具体地点和网址可从云南省税务局网站“纳税服务”-“办税地图”栏目查询。
【办理机构】
各级税务机关
【收费标准】
不收费
【办理时间】
1.属于下列情形的,即时办结:
(1)纳税人当场提出投诉,事实简单、清楚,不需要进行调查的;
(2)一定时期内集中发生的同一投诉事项且已有明确处理意见的。
2.属于下列情形的,自受理之日起3个工作日内办结:
(1)纳税人认为税务机关及其工作人员未准确掌握税收法律法规等相关规定,导致纳税人应享受未享受税收优惠政策的;
(2)自然人纳税人提出的个人所得税服务投诉;
(3)自然人缴费人提出的社会保险费和非税收入征缴服务投诉;
(4)涉及其他重大政策落实的服务投诉。
3.对服务言行类投诉,自受理之日起5个工作日内办结;服务质效类、其他侵害纳税人合法权益类投诉,自受理之日起10个工作日内办结。
4.因情况复杂不能按期办结的,经受理税务机关纳税服务部门负责人批准,可适当延长办理期限,最长不得超过10个工作日,同时向转办部门进行说明并向投诉人做好解释。
【联系电话】
受理投诉的税务机关对外公开的联系电话,可从云南省税务局网站“纳税服务”栏目查询。
【办理流程】

【纳税人注意事项】
1.纳税人已就具体行政行为申请税务行政复议或者提起税务行政诉讼,但具体行政行为存在不符合文明规范言行问题的,可就该问题单独向税务机关进行投诉。
2.纳税人进行纳税服务投诉需遵从税收法律、法规、规章、规范性文件,并客观、真实地反映相关情况,不得隐瞒、捏造、歪曲事实,不得侵害他人合法权益。
3.纳税人通过电话或者当面方式提出投诉的,税务机关在告知纳税人的情况下可以对投诉内容进行录音或者录像。
4.投诉人捏造事实、恶意投诉,或者干扰和影响正常工作秩序,对税务机关、税务人员造成负面影响的,投诉人应依法承担相应责任。
5.税务机关提供“最多跑一次”服务。纳税人在资料完整且符合法定受理条件的前提下,最多只需要到税务机关跑一次。