12 涉税信息查询指南
涉税信息查询包括社会公众涉税公开信息查询、纳税人涉税信息查询、第三方涉税保密信息查询等1类3个事项。
12.1 涉税信息查询
12.1.1—181 社会公众涉税公开信息查询
【事项名称】
社会公众涉税公开信息查询
【申请条件】
税务机关按照办税公开要求的范围、程序和时限,公开相关涉税事项和具体规定,并向社会公众提供查询服务。
【设定依据】
《国家税务总局关于发布〈涉税信息查询管理办法〉的公告》(国家税务总局公告2016年第41号)
【办理材料】
社会公众涉税公开信息查询无需提供材料。
【办理地点】
可通过报刊、网站、信息公告栏等公开渠道查询依法公开的涉税信息,具体
地点和网址由税务总局和云南省税务局确定。
【办理机构】
各级税务机关
【收费标准】
不收费
【办理时间】
即办事项
【联系电话】
各级税务机关对外公开的联系电话,可从云南省税务局网站“纳税服务”-“办税地图”栏目查询。
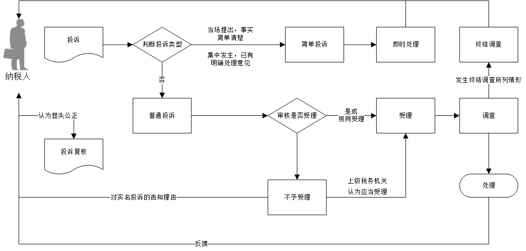
【办理流程】

【社会公众注意事项】
1.社会公众可以通过报刊、网站、信息公告栏等公开渠道查询税收政策、重大税收违法案件信息、非正常户认定信息等依法公开的涉税信息。
2.税务机关提供“最多跑一次”服务。纳税人在资料完整且符合法定受理条件的前提下,最多只需要到税务机关跑一次。
12.1.2—182 纳税人涉税信息查询
【事项名称】
纳税人涉税信息查询
【申请条件】
税务机关依照法律法规的规定,向纳税人提供的自身涉税信息查询服务。
【设定依据】
《国家税务总局关于发布〈涉税信息查询管理办法〉的公告》(国家税务总局公告2016年第41号)
【办理材料】
1.纳税人自行查询时需要提供纳税人有效的身份认证和识别。
2.纳税人书面申请查询:
序号 |
材料名称 |
数量 |
备注 |
1 |
《涉税信息查询申请表》 |
1份 |
|
2 |
纳税人本人(法定代表人或主要负责人)有效身份证明 原件及复印件 |
1份 |
原件查验后退回 |
有以下情形的,还应提供相应材料 |
适用情形 |
材料名称 |
数量 |
备注 |
授权他人委托查询时还应报送 |
经办人员有效身份证明原件及复印件 |
1份 |
原件查验后退回 |
由纳税人本人(法定代表人或主要负责人)签章的授权委托书 |
1份 |
|
3.纳税人对查询结果有异议,向税务机关申请核实:
序号 |
材料名称 |
数量 |
备注 |
1 |
《涉税信息查询结果核实申请表》 |
1份 |
|
2 |
原涉税信息查询结果 |
1份 |
|
3 |
相关证明资料 |
1份 |
|
【办理地点】
1.可以通过网站、客户端软件、自助办税终端、移动办税终端等渠道,经过有效身份认证和识别,自行查询税费缴纳情况、纳税信用评价结果、涉税事项办理进度等自身涉税信息。
2.无法自行获取所需自身涉税信息,可以通过办税服务厅(场所)提出书面申请。具体地点可从云南省税务局网站“纳税服务”-“办税地图”栏目查询。
【办理机构】
主管税务机关
【收费标准】
不收费
【办理时间】
即时办结
【联系电话】
主管税务机关对外公开的联系电话,可从云南省税务局网站“纳税服务”-“办税地图”栏目查询。
【办理流程】

【纳税人注意事项】
1.纳税人对报送材料的真实性和合法性承担责任。
2.税务机关提供“最多跑一次”服务。纳税人在资料完整且符合法定受理条件的前提下,最多只需要到税务机关跑一次。
12.1.3—183 第三方涉税保密信息查询
【事项名称】
第三方涉税保密信息查询
【申请条件】
税务机关根据法律法规规定,依申请向人民法院、人民检察院、公安机关、审计机关、抵押权人、质权人等单位和个人提供的涉税保密信息查询服务。
【设定依据】
1.《国家税务总局关于印发〈纳税人涉税保密信息管理暂行办法〉的通知》(国税发〔2008〕93号)
2.中共中央办公厅国务院办公厅印发《关于完善审计制度若干重大问题的框架意见》及相关配套文件
【办理材料】
1.人民法院、人民检察院、公安机关和审计机关向税务机关提出查询申请:
序号 |
材料名称 |
数量 |
备注 |
1 |
《纳税人、扣缴义务人涉税保密信息查询申请表》 |
1份 |
|
2 |
单位介绍信 |
1份 |
|
3 |
查询人有效身份证明原件 |
1份 |
查验后退回 |
2.抵押权人、质权人申请查询纳税人欠税有关情况:
序号 |
材料名称 |
数量 |
备注 |
1 |
《纳税人、扣缴义务人涉税保密信息查询申请表》 |
1份 |
|
2 |
合法有效的抵押合同或者质押合同的原件 |
1份 |
查验后退回 |
3 |
查询人本人有效身份证明原件 |
1份 |
查验后退回 |
有以下情形的,还应提供相应材料 |
适用情形 |
材料名称 |
数量 |
备注 |
授权其他人员代为查询 |
委托人本人签字的委托授权书 |
1份 |
|
授权其他人员代为查询 |
代理人的有效身份证明原件 |
1份 |
查验后退回 |
【办理地点】
抵押权人、质权人申请查询纳税人欠税有关情况,可以通过办税服务厅(场所)提出书面申请,具体地点可从云南省税务局网站“纳税服务”栏目查询;
人民法院、人民检察院和公安机关依法查询纳税人涉税保密信息的,应有两名以上工作人员向被查询纳税人所在地的县级或县级以上税务机关提出查询申请。
【办理机构】
主管税务机关
【收费标准】
不收费
【办理时间】
20个工作日内办结
【联系电话】
各级税务机关对外公开的联系电话,可从云南省税务局网站“纳税服务”-“办税地图”栏目查询。
【办理流程】

【查询人注意事项】
查询人对报送材料的真实性和合法性承担责任。